联系方式 |
微信公众号:上海高复
|
复读信息
|
|||||||||||
|
|
复读文章
|
||||||||||
|
|
当前位置:首页
>> 考试动态
|
2022年上海市普通高校秋季招生本科各批次录取控制分数线已确定!
|
|||
| 发表时间:7/24/2022 点击:1002 | 返回 | ||
|
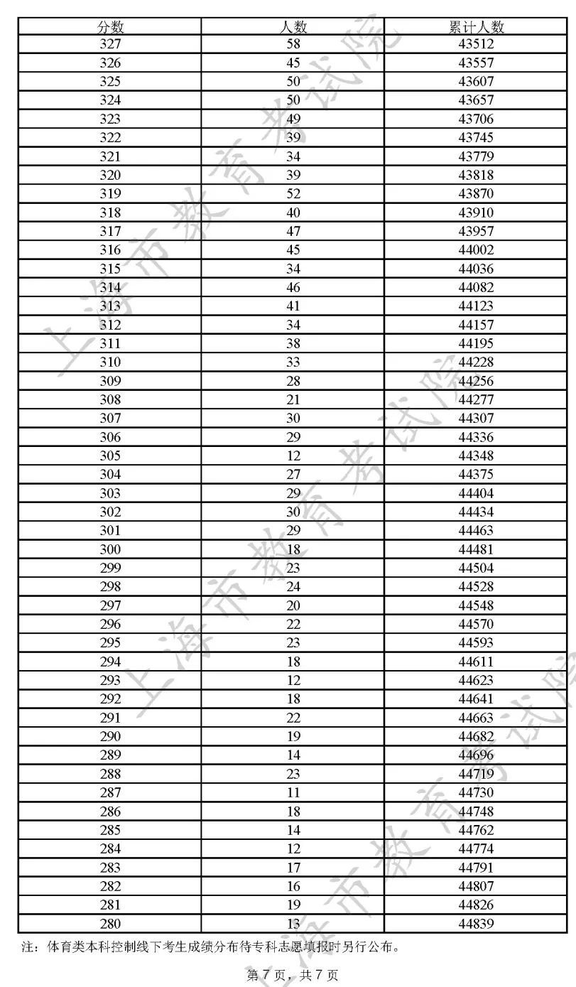
2022年上海市普通高等学校秋季招生本科各批次录取控制分数线经审定公布如下: 批次 分数( 3+3科目) 为便于考生考后填报志愿,现公布如下成绩分布信息,供参考↓
|
|||
|
|||

.jpg)
.jpg)
.jpg)
.jpg)
.jpg)
.jpg)
.jpg)